2月23日消息,最近,北京量子信息科学研究院与清华大学、北方工业大学合作,提出单向量子直接通信理论,并成功研制出实用化系统,创造了2.38kps@104.8km@168小时的长距离稳定传输世界纪录。
这标志着,量子直接通信已经从理论构想成功迈向实际应用阶段。
相关成果以已发表于国际知名期刊《Science Advances》。
据介绍,量子直接通信由清华大学龙桂鲁团队原创提出,借助量子态实现安全通信,具有窃听感知、阻止窃听、兼容现有网络、简化管理流程、隐蔽传输等五大特性。
如何利用能量极低且极易受干扰的量子态,在高噪声、高损耗、存在窃听风险的量子信道中实现安全可靠的通信,一直是亟待攻克的核心难题。
此前采用的是双向协议,通信双方需进行量子态的往返传输,导致系统损耗极大,严重制约了通信性能的提升。
北京量子院团队曾在2022年创造了100公里的量子直接通信世界纪录,但速率仅为0.5bps,只能传输字数极少的报文。
如今,桂鲁教授领衔的研究团队成功突破了高噪高损信道编码、信道掩码增容、高速量子态调制解调等系列关键技术,提出单向量子直接通信理论方法,利用同一组光量子态同时实现了信息的安全传输与密钥协商。
这一突破不仅成功解决了量子直接通信的技术难题,还完成了实用化通信端机的研制。
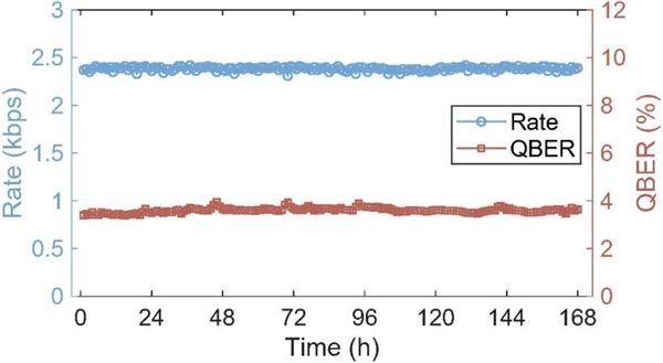
团队在104.8km标准光纤通信实验测试中,实现了连续168小时、速率为2.38kbps的稳定传输。
相比于2022年的系统,速率提升了多达4760倍,极大地提升了量子直接通信的性能。
未来,量子直接通信系统有望广泛应用于政务、金融等对信息安全要求极高的领域,切实增强通信安全性。



